Utilizando as Propriedades Reativas dos Grupos Hidroxílicos do Álcool Polivinílico (PVA) Esta Modificação Está Sendo Desenvolvido para Desenvolver Novas Aplicações
ANHUI LIWEI QUÍMICA CO., LIMITADA
1. Condensação deálcool polivinílicocom grupos carbonila (aldeídos, cetonas e quinonas) e suas aplicações.
① Desenvolvimento e aplicação de alta viscosidaderesina de polivinil butiral
(PVB)eFilme PVB. Camadas intermediárias de polivinil
butiral produzidas com alta viscosidadeResina PVBApresentam
adesão excepcionalmente forte, excelente transparência, resistência à água e à luz.
Há muito tempo, são o material preferido para películas de vidro de segurança e apresentam enorme potencial de mercado.
② O polivinilbenzaldeído é usado na camada absorvente de tinta do papel de impressão. Ele não
absorve bem a tinta, não obstrui os bicos da impressora e produz imagens nítidas com excelente
aparência.
③ Os acetais de polivinila contendo grupos fortemente hidrofílicos apresentam rápida solubilidade em água e podem reduzir a rugosidade química da superfície.
④ A condensação de álcool polivinílico com 1,5-di-hidroxi-3-pentanona está sendo utilizada para
produzir filmes de álcool polivinílico resistentes à água, à umidade e que possuem
excelente resistência mecânica. O produto da reação de condensação de álcool polivinílico e
p-formil azofosfônio é utilizado em separações cromatográficas e apresenta alta sensibilidade e
coeficientes de distribuição.
⑥ O álcool polivinílico é condensado com benzaldeído contendo grupos fotossensíveis para
preparar resinas fotossensíveis.
2. Esterificação do álcool polivinílico e aplicações.
O álcool polivinílico pode ser condensado com cloreto de acila ou ácido carboxílico sob catálise ácida para
formar ésteres de álcool polivinílico. Devido à alta polaridade da ligação éster, os ésteres de álcool polivinílico
apresentam alto brilho, dureza e forte absorção de água. Portanto, esses álcoois polivinílicos
têm uma ampla gama de aplicações.
① O éster de álcool polivinílico formado pela reação de álcool polivinílico com cloreto de benzoíla
apresenta alta atividade superficial e viscosidade.
2) Éster de borato de álcool polivinílico, formado pela reticulação de álcool polivinílico com ácido bórico,
apresenta excelente elasticidade, alta dureza e resistência aos solventes ácido acético e
etano. É preparado pela mistura de 1000 partes de acetonitrila, 1 parte de álcool polivinílico e 250
partes de LiBO2 em um molde e secagem. Sua dureza é de 89,5.
③ O acetato de polivinila bloqueado é usado como estabilizador de dispersão de polímero.

④ O álcool polivinílico reage com o ácido cloroacético para formar cloroacetato de álcool polivinílico,
uma resina fotossensível altamente eficaz.
⑤ Moléculas de fármacos com grupos carboxila podem atingir liberação sustentada por meio da esterificação
com PVA. Nos últimos anos, o PVA emergiu como um fármaco promissor e duradouro. Os fármacos podem ser
ligados às cadeias moleculares de PVA ou encapsulados em filmes de PVA e, em seguida, administrados por via oral ou
implantados no tecido afetado, onde são liberados lentamente para atingir efeitos terapêuticos.
Essa abordagem oferece vantagens como eficácia duradoura e efeitos colaterais mínimos.
3. Modificação por adição para formar ligações amida -NHCO-
① O álcool polivinílico é adicionado a isocianatos para produzir poliuretanos de álcool polivinílico. Filmes
feitos de poliuretanos de álcool polivinílico apresentam excelentes propriedades antiembaçantes e alta
transparência, com resistência mecânica de até 18 x 103 Pa e alongamento ao rasgar de até 110%.
② O produto da reação de álcool polivinílico e diisocianato de difenilmetila é usado para preparar
adesivos antissépticos. O produto da reação de álcool polivinílico e diisocianato de difenilmetila é misturado com éter de glicerol, benzoato e uma pequena quantidade de fragrância para produzir
um adesivo com propriedades antissépticas. ③ O produto da reação de álcool polivinílico e HMPI é
usado para preparar revestimentos resistentes ao calor. O revestimento produzido pela reação de álcool polivinílico e HMPI é resistente ao calor, com excelente resistência e estabilidade a óleo e água. Um
filme da emulsão preparada pelo produto da reação de álcool polivinílico e HMPI, iniciado
por diisobutilestanho, com acetato de vinila e 2-aminotiofenol, foi imerso em tolueno a 90°C
por 1 hora e perdeu 3% em peso.
3. Modificação por adição para formar ligações amida -NHCO-
① O poliuretano de álcool polivinílico é preparado pela reação de adição de álcool polivinílico com
isocianato. O filme produzido com poliuretano de álcool polivinílico apresenta excelentes propriedades antiembaçantes
e alta transparência, resistência mecânica de 18 x 103 Pa e alongamento ao rasgo de
110%.
② O produto da reação de álcool polivinílico e diisocianato de difenilmetila é usado para preparar
um adesivo anticorrosivo. O produto da reação de álcool polivinílico e diisocianato de difenilmetila é misturado com éter de glicerol, benzoato e uma pequena quantidade de fragrância para produzir
um adesivo com propriedades anticorrosivas.
③ O produto da reação de álcool polivinílico e HMPI é usado para preparar revestimentos resistentes ao calor.
O revestimento preparado pela reação de álcool polivinílico e HMPI é resistente ao calor,
resistente a óleo, resistente à água e estável. A emulsão preparada pela reação de álcool polivinílico
e HMPI com diisobutilestanho como iniciador, acetato de vinila e 2-aminotiofenol foi
imersa em tolueno a 90 °C por 1 hora e perdeu 3% de seu peso.
4. Modificação por meio de outras reações
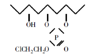
① Formação de ligações P-O. O álcool polivinílico é reticulado com O-(2-cloroetil)fosfinoíla para
formar um polímero éster com excelentes propriedades retardantes de fogo.

② Reação com ureia e seus derivados. O álcool polivinílico reage com ureia e seus derivados
para formar polímeros de álcool polivinílico modificados. Sob luz UV, eles podem sofrer
fotopolimerização para formar uma película de tinta. Os fatores que influenciam a reação de foto-reticulação
incluem a frequência da luz irradiada, o grau de polimerização do PVA e o
tipo de derivado de ureia.